苯酐裝置主反應是鄰二甲苯為原料,經氣化后與空氣混合進入反應器催化氧化生成粗苯酐,生產過程中大機組鼓風機由汽輪機帶動,產生大風量空氣參與反應是苯酐裝置的主要設備也是關鍵設備,該機組的穩定運行是裝置的,由于上級電網電壓波動出現晃電現象可使主油泵停機,而備用油泵啟動過程中,總管油壓下降造成機組聯鎖引起整個裝置停工,一旦停工將造成的經濟損失和威脅裝置的。
1 研究目的、意義和性
某苯酐裝置是以鄰二甲苯和空氣為原料,采用巴斯夫催化劑,生產負荷95 g/nm3空氣,正常生產過程中需要提供87 000~88 000 nm3/h空氣經過濾后,由空氣鼓風機壓縮至50 kpa進入主反應器,空氣鼓風機用蒸汽透平機驅動,機組功率2 500 kw,該設備屬于本裝置關鍵設備,其穩定運行是裝置平穩的基礎,然而本裝置上級電網由于其他用電客戶設備性不足導致電網晃電頻發,2016年有3次晃電,2017年有8次晃電,造成透平機組聯鎖停車,造成裝置緊急停工,造成重大經濟損失。
通過多次晃電停工分析,如果大機組鼓風機不跳車,裝置還可以在晃電后及時投料避免停工。
2 鼓風機機組晃電跳車原因
2.1 油泵自啟動備泵
油泵自啟動當潤滑油油壓pia351低于0.2 mpa或控制油壓力pas005低于0.6 mpa,備用泵將會自動開啟。電氣還有一路自啟動,主泵接觸器脫開,備泵自啟動。
?2.2 油站聯鎖設置
控制油壓力開關pas009低于0.15 mpa時機組聯鎖跳車,潤滑油有三個壓力開關pas32bc,三取二低于0.1 mpa時機組聯鎖跳車。
由于上級電網不穩定和夏季雷雨天氣影響造成電網電壓波動,晃電現象時常發生,備用油泵在自啟動時不能在短時間內恢復油壓,導致潤滑油或控制油壓低于停機值觸發聯鎖停車事故,造成的經濟損失,通過多次分析發現油壓低備泵聯鎖自啟動和電氣聯鎖自啟動不能夠對機組油壓穩定做出,需要增強機組對電網晃電的抵御能力,從上降低因非計劃而發生停工事故[1]。
3 改造思路
3.1 油路改造增加油路的蓄能器
如何油壓不低于聯鎖值是我們抗晃電主要目標。
(1)穩定控制油壓力。首先查找流程,主油管去控制油有一個dn50止回閥,如果此閥故障,會導致油泵停止期間高壓控制油(0.8 mpa)流回低壓油系統,此時油系統殘余壓力因潤滑油流量大且壓力低導致控制油壓力低于0.15 mpa聯鎖值,為此確認此止回閥關系到該機組在抗晃電因素之一,利用停工期間對此閥進行更換,檢查發現此單向閥關閉期間存在量的泄漏,消除了此隱患增強了大機組抗晃電能力。
(2)利用蓄能器減緩管路油壓變化。在潤滑油管路上沒有蓄能器,考慮增加低壓蓄能器來穩定低壓潤滑油油壓。本文將潤滑油低壓蓄能器的計算來說明選合適的蓄能器的容積。
?①系統參數
提供的設計參數如下:
潤滑油牌號:iso vg32;
工作油溫:≤45 ℃;
設計溫度(氣測/油測):100 ℃/100 ℃;
設計壓力(氣測/油測):1.0 mpa/1.0 mpa;
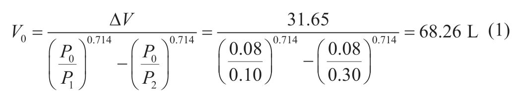
油泵流量:380 l/min=6.33 l/s;
工作時油泵壓力:0.30 mpa;
切換時油泵壓力:0.10 mpa;
油壓測點標高:0 m;
蓄能器安裝標高:0 m;
蓄能器向系統供油時間:5 s。
?②容積計算
蓄能器作輔助動力源的計算如下:
“項目”就是“課程教學項目”的簡稱。它是以實際職業、企業工作為背景,按照認識論要求改造過的一項具體工作。項目的設定要依據旅游管理人才培養目標的為依據,項目的設定盡可能真實具體、實用典型、是一項具體的工作。旅游管理對于學生的語言表達能力,旅游接待能力、產品銷售能力等能力較高的要求。所以在項目設置中,項目的開展應遵循從簡單到復雜,從感性到理性,從具體到抽象的教學規律,這個項目是學生感興趣,能在工作實際中能夠運用到的,并積極參與到這個項目中,在項目的實施中有的決策空間和空間。該項目的設置應包含學生的能力培養、系統知識學習和素質、職業道德等方面的教學內容。

計算結果:按油泵出口的流量6.33 l/s,經計算,系統在5 s內維持系統的蓄能器總容積為:68.26 l。
③參數計算分析
分析示意圖如圖1所示。

圖1 分析示意圖
?④配置方案
按油泵出口的流量6.33 l/s,經計算,系統在5 s內維持系統的蓄能器總容積為:68.26 l。φ299/40 l蓄能器單臺排放量為15 l/s,2臺40 l蓄能器總排放量為30 l/s,可以滿足6.33 l/s的要求,又能滿足系統在5 s內需要補充的液體總容量,雙排式壓大排量的不銹鋼蓄能器組件完夠滿足要求。裝置利用2018年停工大修期間增加了2×40 l低壓潤滑油蓄能器,來穩定晃電期間潤滑油油壓避免了因潤滑油壓力開關pas32bc壓力低觸發聯鎖信號導致機組聯鎖停車。
3.2潤滑油泵抗晃電電氣方案
電氣部分的改造思路是使用tpm-k抗晃電交流接觸器替換普通交流接觸器,交流接觸器在低壓電動機控制系統中的應用,占了相當大的比例。由于電磁式交流接觸器的工作原理特點,當電網出現晃電時,會造流接觸器工作線圈短時斷電或電壓過低,導致靠電流維持吸合的動、靜鐵芯吸力小于釋放彈簧的彈力,使接觸器釋放產生跳閘停機的重要原因。
針對電網欠壓或失壓現象,泰普科技抗晃電接觸器和增加時間繼電器,對改抗晃電接觸器進行試驗,當晃電發生,可以保持不脫扣,使設備可繼續維持運轉。
鄭州泰普科技有限公司成立于2011年,注冊資金5000萬,是生產抗晃電設備的廠家,已為化工、石油、冶金、電力、水泥、市政設施等領域解決晃電問題,為企業的生產貢獻一份力量。